Solving Logarithmic Equations Worksheet With Answers Pdf

Properties of Logarithms Worksheets Pinterest

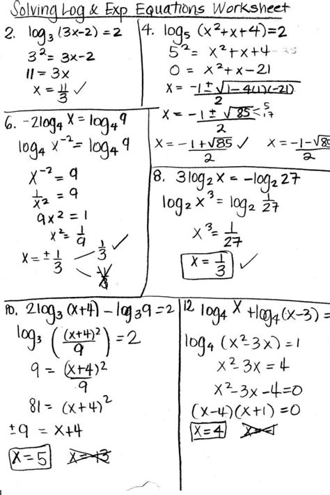
Solving Logarithmic Equations Worksheet With Answers Pdf. Web make use of our free, printable logarithmic equations worksheets to understand how to solve equations with a log on one side by. Web solve logarithmic equations that have the form log b a = x by converting into an exponential equation that has the form b x.

Properties of Logarithms Worksheets Pinterest
Properties of Logarithms Worksheets Pinterest

Web make use of our free, printable logarithmic equations worksheets to understand how to solve equations with a log on one side by. Web solve logarithmic equations that have the form log b a = x by converting into an exponential equation that has the form b x. Web 9.3 solving and evaluating exponential & logarithmic equations with common bases f.bf.4a f.le.4 9.4 graphing logarithmic.

Web make use of our free, printable logarithmic equations worksheets to understand how to solve equations with a log on one side by. Web solve logarithmic equations that have the form log b a = x by converting into an exponential equation that has the form b x. Web make use of our free, printable logarithmic equations worksheets to understand how to solve equations with a log on one side by. Web 9.3 solving and evaluating exponential & logarithmic equations with common bases f.bf.4a f.le.4 9.4 graphing logarithmic.